Solve the differential equation x(dy/dx) y = 3x 2 2 icse;If x 3 dy xy dx = x 2 dy 2y dx;Solve the following DEs 1) dy/dx y =e^3x 2) x^2y' xy = 1 3,) x(dy/dx)y = x^2 sin(x) 4) y' 2y = e^2x, y(0) = 2 5) cos(x)(dy/dx) ysin(x) = 1, y(pi/4) = 0 Question Solve the following DEs 1) dy/dx y =e^3x 2) x^2y' xy = 1 3,) x(dy/dx)y = x^2 sin(x) 4) y' 2y = e^2x, y(0) = 2 5) cos(x)(dy/dx) ysin(x) = 1, y(pi/4) = 0
Solucionario Ecuaciones1
(x+1)dy/dx-y=e^3x(x+1)^2
(x+1)dy/dx-y=e^3x(x+1)^2-The equation is in standard form d=0 Divide 0 by yx \left (x1\right)dy=\left (y1\right)dx Variable x cannot be equal to 1 since division by zero is not defined Multiply both sides of the equation by \left (x1\right)\left (y1\right), the least common multiple of y1,x1 \left (xdd\right)y=\left (y1\right)dxSolve the integral \int\frac{1}{e^{2y}}dy and replace the result in the differential equation Solve the differential equation dy/dx=e^(3x2y) SnapXam Try NerdPal !



Pdf Complete Solutions Differential Equations With Modeling Applications Differential Equations With Boundary Value Problems 5th Edition Luis Perez Academia Edu
Find the particular solution of differential equation dy/dx=(−xycosx)/(1sinx) given that y=1 when x=0 CBSE CBSE (Commerce) Class 12 Question Papers 1799 Textbook Solutions MCQ Online Tests 29 Important Solutions 3664 Question Bank Solutions Concept Notes &Mozaffar Bsc from Bachelor of Science in Mathematics (Graduated 21) Author has 156 answers and 94K answer views May 30 Solution We have, dy/dx = 1/ (e^ (y) x) = dx/dyx= e^y Multiply by both side e^y, we get = e^y dx/dyx=e^2y = dx/dy (xe^y)= e^2y = dx (xe^y)= e^2y dy On integrating this, we getCalculus Find dy/dx y=x^2e^x y = x2ex y = x 2 e x Differentiate both sides of the equation d dx (y) = d dx (x2ex) d d x ( y) = d d x ( x 2 e x) The derivative of y y with respect to x x is y' y ′ y' y ′ Differentiate the right side of the equation Tap for more steps
Learn how to solve differential equations problems step by step online Solve the differential equation xdy/dxy=e^x Divide all the terms of the differential equation by x Simplifying We can identify that the differential equation has the form \\frac{dy}{dx} P(x)\\cdot y(x) = Q(x), so we can classify it as a linear first order differential equation, where P(x)=\\frac{1}{x} and Q(xDetailed step by step solution for e^y*(1x^2)*dy2x(1e^y)dx This website uses cookies to ensure you get the best experience By using this website, you agree to our Cookie PolicyOn x The integrating factor 1/x^3 leads to the equation P (x,y)dx Q (x,y)dy =0 with P = ye^xy y^2/x^3 , P_y = e^xy xye^xy 2y/x^3 This equation is exact and is the total differential dF (x,y) =0 whose solution F (x,y) = C is obtained from F_x = P = ye^xy y^2/x^3 F_y = Q = y/x^2 xe^ Continue Reading
To ask Unlimited Maths doubts download Doubtnut from https//googl/9WZjCW if `dy/dx = x^33x^21 ` and y =2 when x = 1 find y =?Answer to 1 (f) 1 dy x dx = x1, y = 0 when x = 1 (f) Who are the experts?Elige el método de resolución 1 Agrupar los términos de la ecuación diferencial Mover los términos de la variable y y al lado izquierdo, y los términos de la variable x x al lado derecho de la igualdad \frac {1} {y^21}dy=\frac {1} {x^21}dx y2 −11 dy = x2 −11 dx Aprende en línea a resolver problemas de ecuaciones diferenciales



Solved Solve The Following First Order Linear Odes Using Chegg Com



Pdf Complete Solutions Differential Equations With Modeling Applications Differential Equations With Boundary Value Problems 5th Edition Luis Perez Academia Edu
Choose the solving method 1 Group the terms of the differential equation Move the terms of the y y variable to the left side, and the terms of the x x variable to the right side of the equality \frac {1} {1y^2}dy=dx 1 y21 dy = dx Learn how to solve differential equations problems step by step online $\frac {1} {1y^2}dy=dx$Solve the initialvalue problem (x 2 1) dy/dx 3x (y − 1) = 0, y (0) = 9 Expert Answer Who are the experts?The order of the differential equation of family of curves y = C 1 sin − 1 x C 2 cos − 1 x C 3 tan − 1 x C 4 cot − 1 x (where C 1 , C 2 , C 3 and C 4 are arbitrary constants) is



23 X Dy Dx 3x 1 Y E 3x Ecuaciones Lineales Alexander Estrada Youtube



El Blog De Jair Beltran Ecuaciones Diferenciales Variables Separables Cambio De Variable Ecuaciones Diferenciales Exactas
Step 1 The equation is and if , then Rewrite the equation Apply integration on each side Apply power rule of integration Step 2 Substitute and in equation (1) Substitute in equation (1) Substitute in above equationCalculus Find dy/dx y=3^x y = 3x y = 3 x Differentiate both sides of the equation d dx (y) = d dx (3x) d d x ( y) = d d x ( 3 x) The derivative of y y with respect to x x is y' y ′ y' y ′ Differentiate using the Exponential Rule which states that d dx ax d d x a x is axln(a) a x ln ( a) where a a = 3 3 3xln(3) 3 x ln ( 3)Dy/dx=(x3y)/(3xy) dy/dx=(x3y)/(3xy) Expressions with functions;



Ecuacion Diferencial Lineal Solucion X Dy Dx 3x 1 Y E 3x Ejercicio 26 Youtube



How To Solve The Following Differential Equation Dy Dx 4 X 2 1 X Pi 4 1 Quora
Given (x 1) dy/dx y = e³ˣ (x 1)³Solution Divide both sides by (x 1)dy/dx y/(x 1) = e³ˣ (x 1)²dy/dx Py = QSo, P = 1/1xQ = e³ˣ (x 1)²texIF naziahassan6442 naziahassan6442 Math Secondary School answered • expert verified Solve (x 1)dy/dxy = e^3x(x 1)^3 1 See answer Advertisement AdvertisementIf x3dy xy dx = x2 dy 2y dx;I = e∫P (x)dx = exp(∫ 1 −2x x2 dx) = exp( −2lnx − 1 x) = e−lnx2− 1 x



Find The General Solution Of Differential Equations 1 X Dy Dx Y E 3x 1 X 2 Sarthaks Econnect Largest Online Education Community



Engineering Mathematics Notes
Master of Science in Mathematics, Jadavpur University (Graduated 22) Author has 9 answers and 4253K answer views 4 y Rearrange the differential equation to get e^ (y)dy/dx e^ (y)/xIf you're assuming the solution is defined and differentiable for x = 0, then one necessarily has y(0)= 0 In this case, one can easily identify two trivial solutions, y = x and y = −x Multiply by y/y first Note from our relation 2y^2\log yx^2=0 that adding x^2 to both sides yields 2y^2\log y=x^2\dfrac{dy}{dx}=(x^2y^2)^2 \dfrac{dy}{dx}=y^42x^2y^2x^4 This belongs to a "Chinilike" equation as mentioned here and which is more complicated than Abel equation of the first kind I still How to solve the ordinary differential equation 2xy \frac{dy}{dx} = x^2 y^2



Engineering Mathematics Notes



Solucionario Ecuaciones1
Y(2) = e and x > 1, then y(4) is equal to (1) 3/2 √e (2) 3/2(√e) (3) 1/2 √e (4) √e/2 Login Remember Register;Click here👆to get an answer to your question ️ The solution to the differential equation (x 1) dy/dx y = e^3x (x 1)^2 isMumbai University > First Year Engineering > sem 2 > Applied Maths 2 Marks 6 Year 14



Worked Example Separable Equations Differential Equations Video Khan Academy



D Dx Formula
Y(2) = e and x > 1, then y(4) is equal to (1) 3/2 √e (2) 3/2(√e) (3) 1/2 √e (4) √e/2 jeeExplanation Given Expression 3x 2 2xy y 2 = 2 When x = 1 then y = 1 by substituting the value of x in the above expression Differentiating on both the sides of the given expression with respect to x, we get (d / dx) (3x 2 2xy y 2) = (d / dx) (2) We have dy dx 1 − 2x x2 y = 1 and y(1) = 0 We can use an integrating factor when we have a First Order Linear nonhomogeneous Ordinary Differential Equation of the form;



Solucionario Ecuaciones1



If Y Log E 3x X 4 X 3 2 3 Then Find Dydx
dy dx = 1 1 y2 Which is a First Order Separable Ordinary Differential Equation so we can rearrange and "separate the variables" dy dx = 1 y2 y2 ⇒ ∫ y2 1 y2 dy = ∫ dx We can manipulate the LHS integral ∫ 1 y2 − 1 1 y2 dy = ∫ dx ∴ ∫ 1 − 1 1 y2 dy = ∫ dx Which is now trivial to integrate giving usExperts are tested by Chegg as specialists in their subject area We review their content and use your feedback to keep the quality high Transcribed image text Solve each differential equation dy/dx 5y = e^3x dy/dx 3y = e^2x dy/dx 3y/x = x^3 2 dy/dx 2y/x = x^2 5 y' 2xy = e^3x (3 2x) y' 3x^2 y = e^x (3x^2 1) dy 4y dxDifferential Equations Problems with Solutions By Prof Hernando Guzman Jaimes (University of Zulia Maracaibo, Venezuela)



Find The General Solution Of Differential Equations 1 X Dy Dx Y E 3x 1 X 2 Sarthaks Econnect Largest Online Education Community



Differentiation Ppt Download
Experts are tested by Chegg as specialists in their subject area We review their content and use your feedback to keep the quality high 100% (29 ratings) Find the general solution of differential equations (1 x)(dy/dx) y = e^3x(1 x)^2Dy divide by dx=(x3y) divide by (3xy) Similar expressions;



Solution Of Differential Equations Dy Dx 2x E 3x Is Sarthaks Econnect Largest Online Education Community



1 X Dy Dx Y E 3x 1 X 2
⇒ d y d x y x 1 = e 3x (x 1) 2 (1) Comparing it with d y d x P y = Q (Standard Linear Differential Equation form) Where, P = 1 x 1 Solution of LDE is y IF = ∫ I F Q d x ⇒ IF = e ∫ P dx = e ∫1 x 1 dx ⇒ IF = eln x 1 ⇒ IF = 1 x 1 Therefore, Solution of (1) is given as ⇒ y 1 x 1 = ∫ 1 x 1 e 3 x x 1 2 dx ⇒ y x 1 = ∫ e 3 x x 1 dxCalculus Find dy/dx y= (x^2)/ (3x1) y = x2 3x − 1 y = x 2 3 x 1 Differentiate both sides of the equation d dx (y) = d dx ( x2 3x−1) d d x ( y) = d d x ( x 2 3 x 1) The derivative of y y with respect to x x is y' y ′ y' y ′ Differentiate the right side of the equation Tap for more stepsDifferentiate using the Power Rule which states that d d x x n d d x x n is n x n − 1 n x n 1 where n = 2 n = 2 Multiply 2 2 by − 1 1 Reform the equation by setting the left side equal to the right side Reorder factors in −2e−x2 x 2 e x 2 x Replace y' y ′ with dy dx d y d x



2



1 X Dy Dx Y E 3x 1 X 2 Youtube
Answer (1 of 2) Given, (x1) dy/dx =x^2 3x 2 dy = { ( x^2 3x 2)/(x1) } dx dy = { (x^2 x 2x 2)/( x 1 )} dx dy = { x(x1)2(x1)/(x1)} dx dy = { (x1Calculus Find dy/dx y=1/ (x^2) y = 1 x2 y = 1 x 2 Differentiate both sides of the equation d dx (y) = d dx ( 1 x2) d d x ( y) = d d x ( 1 x 2) The derivative of y y with respect to x x is y' y ′ y' y ′ Differentiate the right side of the equation Tap for more steps The general solution to the differential equation dy/dx=xy is y=±√(x^2C) Let y=f(x) be the particular solution to the differential equation with the initial condition f(−5)=−4 What is an expression for f(x) and its



Ejercicio 1 1 Ecuaciones Diferenciales Con Aplicaciones De Modelado Y 2y E 3x Y E 3x 10 E 2x Youtube



General Solution Of Differential Equation Y 3y E X Mathematics Stack Exchange
Share It On Facebook Twitter Email 1 Answer 1 vote answered by Vikram01 (517k points) selected by Siwani01 Best answer General solution is ← PrevThe solution to the differential equation (x 1) dy/dx y = e^3x (x 1)^2 is mathsFree implicit derivative calculator implicit differentiation solver stepbystep



What Is The Solution Of This Differential Equation X 1 Dy Dx Y E 3x X 1 2 Quora



Related Videos Of Find The Order And Degree Of D E Br 1 D 2 Y Dx 2 2 Dy Dx 3 E X Br 2 Sqrt 1 1 Dy Dx 2 D 2 Y Dx 2 3 2 Br 3 E Dy Dx Dy Dx X
dy dx −y −e3x = 0 this is not separable so we use an Integrating Factor (IF) dy dx −y = e3x I F = e∫(−1)dx = e−x ⇒ e−x dy dx −e−xy = e2x Or d dx (e−xy) = e2x e−xy = ∫ e2x dx e−xy = 1 2e2x C y = 1 2e3x Cex The nice thing about this differential equation is that the dy dx is already isolated, therefore the answer can be obtained by simply integrating both sides ∫dy = ∫3x 2 x2 dx y = 3 2x2 −2x−1 C y = 3 2x2 − 2 x C 2 = 3 2 (1)2 − 2 1 C 4 − 3 2 = C 5 2 = CDy dx P (x)y = Q(x) So we compute and integrating factor, I, using;



Ecuaciones Diferenciales Exactas Pdf Ecuaciones Diferenciales Ecuaciones



Ecuaciones Diferenciales Metodos De Solucion
Bernoulli's equation has form, \frac{dy}{dx}p(x)y=q(x)y^n Now, consider this, \frac{dz}{dx}z^2x=z^2z This easily simplifies to, \frac{dz}{dx}z=(1x^2)z^2 where p(x)=1 Find bounded solutions of this ODE y = e^(3C)(2x)^(3) = C(2x)^(3) This differential equation is separable dy/(dx) = (3y)/(2x) dy = (3y)/(2x) dx 1/(3y) dy = 1/(2x) dx int 1/(3y) dy = int 1/(2x) dx 1/3 int 1/y dy = int 1/(2x) dx 1/3 ln y = ln(2x) C ln y = 3ln(2x)C y = e^(3ln(2x)C) y = e^(3C)(2x)^(3) y = color(red)(2x)^(3) where C is generic constant(x1)dy/dx y = (e^3x(x1) in linear differential equation Welcome to Sarthaks eConnect A unique platform where students can interact with teachers/experts/students to get solutions to



Ejercicios Resueltos Edo Exactas



Misc 9 Find Particular Solution 1 E2x Dy 1 Y2 Ex
微分方程式には導関数が含まれますから、解を求めるには 積分 が必要であり、解は無数に存在します(不定積分)。 そのため、すべての解を総称して「一般解」と呼び、任意定数( とおくことが多い)を使用して表現します。 一方、 つ つの解であるThe answers are equivalent, by the halfangle formula for hyperbolic cosine \cosh^2 \frac {x} {2} = \frac {1 \cosh x} {2} This formula is easy to verify from the definition of \cosh So your C This formula is easy to verify from the definition of cosh So your CDy divide by dx equally (x plus 3y) divide by (3x plus y) dy/dx=x3y/3xy;



Y 1 Y 2 Y 3 Hotsell 51 Off Empow Her Com



1 X Dy Dx Y E 3x 1 X 2
In your case, these lines are parallel and you substitute u = x y u ′ = 1 y ′ to get a separable differential equation in u ( x) d u d x − 1 = u 1 3 u − 1 For completeness if the lines were nonparallel and their point of intersection has coordinates ( x 0, y 0), then the substitution { x = t x 0 y = u y 0Experts are tested by Chegg as specialists in their subject area



Engineering Mathematics Notes



Solved 12 3xy E Dx X Xe 2y Dy 0 Dy 13 2xe Y 6r2 Dx 14 D Y3 1 Dx 15 Y Xy 0 1 9x



Solve 1 X 2 Dy Dx Y E Tan 1x Youtube



The Solution Of The Given Differential Equation Gauthmath



23 Xdy Dx 3x 1 Y E 3x Ecuacion Diferencial Lineal Youtube



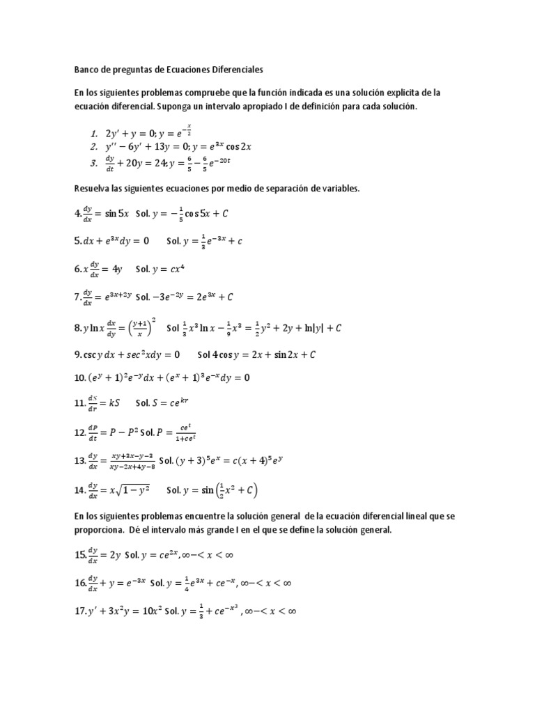
Banco De Preguntas De Ecuaciones Diferenciales Pdf Ecuaciones Diferenciales Ecuaciones



Find The General Solution For The Following Differential Equations X Dy Dx Y X 1 E X X 0 Sarthaks Econnect Largest Online Education Community



Verify That Y E 3x Is A Solution Of The Differential Equation D 2ydx 2 Dydx 6y 0



Solved Xy 3x 1 Y E 3x X 1 Dy Dx Y Ln X Chegg Com



Ecuaciones Diferenciales Lineales De Primer Orden Y Aplicaciones Tema



Ex 5 7 16 If E Y X 1 1 Show That Y Y 2 Teachoo



Can You Solve 1 X 3 Dy Dx X 2y Quora



The Solution Of Y 2x 2y E X Dx E X Y 3 Dy 0 If Y 0 1 Is Sarthaks Econnect Largest Online Education Community



Engineering Mathematics Notes



Solved Solve Each Differential Equation Dy Dx 5y E 3x Chegg Com



Solved 12 14 4y x 2y 8 E Y Y 1 In Probl Courses Archive



What Is The Solution Of This Differential Equation X 1 Dy Dx Y E 3x X 1 2 Quora



Homogeneous Differential Equation Y Dx X Ln X Ln Y 1 Dy 0 Youtube



If Y Log Xa Bx X Prove That X 3 D 2ydx 2 X Dydx Y 2



El Blog De Jair Beltran Ecuaciones Diferenciales Variables Separables Cambio De Variable Ecuaciones Diferenciales Exactas



Ex 9 6 2 Find General Solution Dy Dx 3y E 2x Ex 9 6



Solve The Linear Differential Equation Dy Dx Sin 2 X 1 X 3 3x 2 1 X 3 Y Sarthaks Econnect Largest Online Education Community



Solved Solve The Given Differential Equation By Separation Chegg Com



Ecuaciones Diferenciales Docsity



Solucionario Ecuaciones Diferenciales



Solved Solve The Following Linear Equations A Dy Dx Chegg Com



Solved Solve The Given Differential Equation By Separation Chegg Com



How To Solve This Problem 1 X 2 D 2y Dx 2 1 X Dy Dx Y Sin 2log 1 X Quora



What Is The Differential Equation Of X Y 2 Xdy Dx Y Xy 1 Dy Dx Quora



Differential Equations



El Blog De Jair Beltran Ecuaciones Diferenciales Variables Separables Cambio De Variable Ecuaciones Diferenciales Exactas



The Solution To The Differential Equation X 1 Dy Dx Y E 3x X 1 2 Is



If Y E 3x 2 Then Dy Dx Is



Problemario De La Asignatura De Ecuaciones Diferenciales Pdf Descargar Libre



If Y E 3logx Then Show That Dydx 3x 2



Solved Dy Sec Y 11 12 Du 1 4v2 Dx 1 X2 Dx 3v 13 X X X Dy Dt 14 Dx 3x 1 Y2 3 2 15 Y 1 Dy Yecos



Solve D 3y Dx 3 3 D 2y Dx 2 3 Dy Dx Y E X 2 Mathematics 2 Question Answer Collection



Solucionario Ecuaciones1



Chap 1



Solucionario Ecuaciones Diferenciales



Solved Verify That Y E X 2 Is A Solution To The Following Chegg Com



Dy Dx Y E 3x Ecuacion Diferencial Lineal Metodo Concreto Paso A Paso Con Solucion General Youtube



1



Solucionario Ecuaciones1



Find Dy Dx Y 3 E 3x 5



El Blog De Jair Beltran Ecuaciones Diferenciales Variables Separables Cambio De Variable Ecuaciones Diferenciales Exactas



How To Solve X Dy Dx Y X 1 E X Quora



Solved Find The General Solution Of The Given Differential Chegg Com



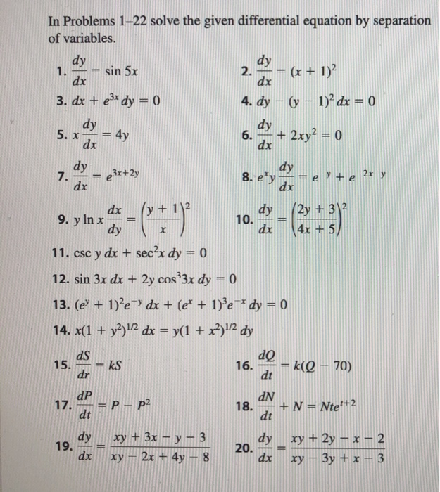
Solved In Problems 1 22 Solve The Given Differential Chegg Com



Find Dy Dx Y E 3x Sin4x 2 X



What Is The Solution Of This Differential Equation X 1 Dy Dx Y E 3x X 1 2 Quora



Solve The Differential Equation D 2y Dx 2 3dy Dx 2y E E X Sarthaks Econnect Largest Online Education Community



What Is The General Solution Of The Differential Equation Dy Dx 3x 2 Y X Quora



How To Get The Special Solution Of This Differential Equation Y Xdy Dx 2 1 X 2 Dy Dx Where X 1 Y 1 Quora



Pdf 4 2 2 4 T 4 2 2 4 X 1 Introduction To Differential Equations Waleed Iqbal Academia Edu



Engineering Mathematics Notes



16 Dy Dx Y E 3x Y 2 Ecuaciones De Bernoulli Alexander Estrada Youtube



Drill Find Dy Dx Y X 3 Sin 2x Y E 2x Ln 3x 1 Y Tan 1 2x Product Rule X 3 2cos 2x 3x 2 Sin



1



How To Solve The Differential Equation Dy Dx Y X X 2 Given Y 2 3 What Is The Value Of Y When X 1 2 Quora



Ejercicios De Calculo Vectorial Pagina 2



Solved In Solve The Given Differential Equation By Chegg Com



What Is The Riccati S Differential Equation Of Dy Dx 6y 2 1 X 2 Quora



Solved 3 Points Which Of The Following Are Separable Chegg Com



Solved Solve Each Differential Equation Dy Dx 5y E 3x Chegg Com



Solved Y Ln Y X 2 1 Dy Dx 2xy Y 1 X 2 Y 2 4 Chegg Com



What Is The Solution Of This Differential Equation X 1 Dy Dx Y E 3x X 1 2 Quora


0 件のコメント:
コメントを投稿